中文成人视频
中文成人视频
信息中心
中文成人视频概况
师资队伍
教育教学
学科建设
科学研究
党建工作
学生工作
招生就业
资料下载
信息中心
中文成人视频要闻
中文成人视频公告
学术信息
教务公告
科研动态
就业服务
当前位置:
主页
>
信息中心
>
中文成人视频公告
>
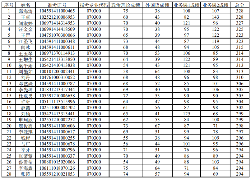
中文成人视频 2021年学术型硕士生调剂考生复试人员名单
发布时间:2021-03-27 14:32 浏览次数:
根据国家和学校研究生复试工作要求,结合学院调剂考生报名情况,经学院研究生招生工作领导小组讨论确定,中文成人视频 化学专业2021年硕士研究生招生调剂考生复试人员名单如下: